pidtune
PID tuning algorithm for linear plant model
Syntax
Description
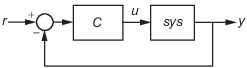
designs a PID controller of type C = pidtune(sys,type)type for the plant
sys. If type specifies a one-degree-of-freedom
(1-DOF) PID controller, then the controller is designed for the unit feedback loop as
illustrated:

If type specifies a two-degree-of-freedom (2-DOF) PID controller,
then pidtune designs a 2-DOF controller as in the feedback loop of this
illustration:

pidtune tunes the parameters of the PID controller
C to balance performance (response time) and robustness (stability
margins).
uses additional tuning options, such as the target phase margin. Use C = pidtune(___,opts)pidtuneOptions to specify the option set opts.
Examples
Input Arguments
Output Arguments
Tips
By default,
pidtunewith thetypeinput returns apidcontroller in parallel form. To design a controller in standard form, use apidstdcontroller as input argumentC0. For more information about parallel and standard controller forms, see thepidandpidstdreference pages.For interactive PID tuning in the Live Editor, see the Tune PID Controller Live Editor task. This task lets you interactively design a PID controller and automatically generates MATLAB® code for your live script.
Algorithms
For information about the MathWorks® PID tuning algorithm, see PID Tuning Algorithm.
Alternative Functionality
For interactive PID tuning in the Live Editor, see the Tune PID Controller Live Editor task. This task lets you interactively design a PID controller and automatically generates MATLAB code for your live script. For an example, see PID Controller Design in the Live Editor
For interactive PID tuning in a standalone app, use PID Tuner. See PID Controller Design for Fast Reference Tracking for an example of designing a controller using the app.
References
[1] Åström, Karl J., and Tore Hägglund. Advanced PID Control. Research Triangle Park, NC: ISA-The Instrumentation, Systems, and Automation Society, 2006.
Version History
Introduced in R2010b



