BPSK (BER vs SNR) with awgn
Version 1.0.0.0 (658 Bytes) by
Abhishek
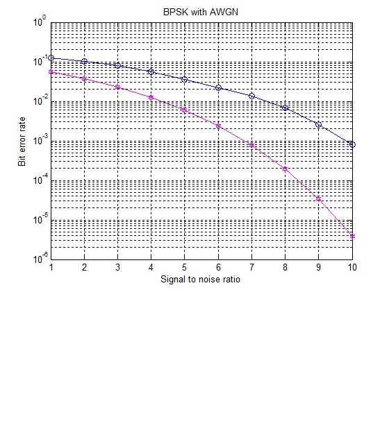
comparison b/w theoretical vs practical ber
comparison between theoretical vs practical bit error rate in BPSK(AWGN).
Cite As
Abhishek (2025). BPSK (BER vs SNR) with awgn (https://se.mathworks.com/matlabcentral/fileexchange/47946-bpsk-ber-vs-snr-with-awgn), MATLAB Central File Exchange. Retrieved .
MATLAB Release Compatibility
Created with
R2007b
Compatible with any release
Platform Compatibility
Windows macOS LinuxCategories
Find more on BPSK in Help Center and MATLAB Answers
Tags
Community Treasure Hunt
Find the treasures in MATLAB Central and discover how the community can help you!
Start Hunting!Discover Live Editor
Create scripts with code, output, and formatted text in a single executable document.
| Version | Published | Release Notes | |
|---|---|---|---|
| 1.0.0.0 |
